Bureau Of Internal Revenue Forms 0605

Resume Sample Ideas Gallery

Bureau Of Internal Revenue Forms 0605. BIR collects more than half of the total revenues of the government. Access IRS forms, instructions and publications in electronic and print media.

Go appeals for extension of ITR filing deadline | Nation ...
Go appeals for extension of ITR filing deadline | Nation ... (Ethan Wallace)
Contact the US Government Printing Office in Pueblo, Colorado for a copy of the. This list is subject to change without prior notice and it is your due obligation to make sure you are updated with the following BIR forms in pdf downloadable format. Bureau of Internal Revenue — former name of the Internal Revenue Service. * *

Hybrid: Through eBIRForms, which is a tax preparation software that allows taxpayers to accomplish or fill out tax forms via the computer instead of the.

If you want to know how much tax is charged on a specific item then order a copy of The Tariff Schedules of the United States.

BIR – Welcome to work avenue

IRS Form 1099-MISC Miscellaneous Income Lies On Flat Lay ...

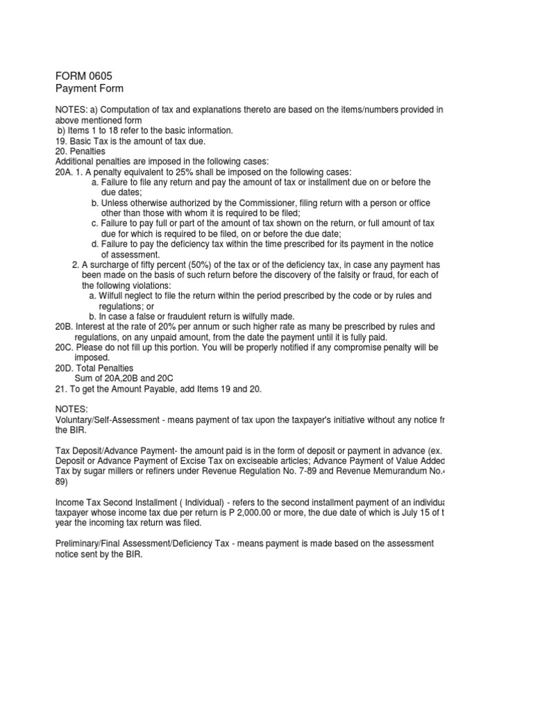
0605 Payment Form | Payments | Internal Revenue Service

2002 Form PH BIR 2551Q Fill Online, Printable, Fillable ...

BIR Tax Information, Business Solutions and Professional ...

10 Tips to Avoid Penalties during Bureau of Internal ...

BIR form 0605 | Taxpayer | Gasoline

IRS Organizational Chart Free Download

Bureau of Internal Revenue Philippines - Posts | Facebook

There may also be a payment counter at the RDO office. BIR collects more than half of the total revenues of the government. Bureau of Internal Revenue — former name of the Internal Revenue Service. * *